Products

Enzymes for Research, Diagnostic and Industrial Use

Lysine Oxidase

Official Full Name
Lysine Oxidase
Background
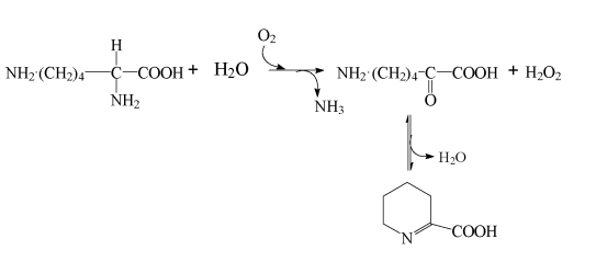
In enzymology, a L-lysine oxidase (EC 1.4.3.14) is an enzyme that catalyzes the chemical reaction:L-lysine + O2 + H2O↔ 6-amino-2-oxohexanoate + NH3 + H2O2. The 3 substrates of this enzyme are L-lysine, O2, and H2O, whereas its 3 products are 6-amino-2-oxohexanoate, NH3, and H2O2. This enzyme belongs to the family of oxidoreductases, specifically those acting on the CH-NH2 group of donors with oxygen as acceptor. This enzyme participates in lysine degradation.
Synonyms
L-lysine α-oxidase; L-lysyl-α-oxidase; L-lysine oxidase; EC 1.4.3.14; 70132-14-8
Catalog Product Name EC No. CAS No. Source Price
EXWM-1470 L-lysine oxidase EC 1.4.3.14 70132-14-8 Inquiry
NATE-0426 Native Trichoderma viride Lysine Oxidase EC 1.4.3.14 70132-14-8 Trichoderma vir... Inquiry
Products
Online Inquiry

For research and industrial use only. Not intended for personal medicinal use. Certain food-grade products are suitable for formulation development in food and related applications.