Products

Enzymes for Research, Diagnostic and Industrial Use

Chitinases

Catalog Product Name EC No. CAS No. Source Price
CEFM-002 Chitinase from Trichoderma harzianum EC 3.2.1.14 Trichoderma har... Inquiry
NATZ-004 Chitinase (food grade) Inquiry
DIS-1010 Chitinase from Aspergillus niger (food grade) EC 3.2.1.14 9001-06-3 Aspergillus nig... Inquiry
EXWM-3822 chitinase EC 3.2.1.14 9001-06-3 Inquiry
NATE-1379 Chitinase 18A from Clostridium thermocellum, Recombinant EC 3.2.1.14 E. coli Inquiry
NATE-1378 Chitinase 18A from Bacillus licheniformis, Recombinant EC 3.2.1.14 E. coli Inquiry
NATE-1377 Chitinase 18A from Bacillus cereus, Recombinant EC 3.2.1.14 E. coli Inquiry
NATE-1201 Chitinase from Clostridium thermocellum, Recombinant EC 3.2.1.14 Clostridium the... Inquiry
NATE-0124 Native Trichoderma viride Chitinase EC 3.2.1.14 9001-06-3 Trichoderma vir... Inquiry
NATE-0123 Native Streptomyces griseus Chitinase EC 3.2.1.14 9001-06-3 Streptomyces gr... Inquiry

Chitinases are enzymes that degrade chitin, an abundant polysaccharide that forms the exoskeletons of arthropods, the cell walls of fungi, and some algae. Chitin is the second most abundant biopolymer after cellulose and consists of N-acetylglucosamine molecules linked by β-1,4-glycosidic bonds. Since chitin is a structural component in various organisms, chitinases are also required to degrade and recycle this biopolymer in nature.

Chitinases are abundant in all biological kingdoms: bacteria, fungi, plants, animals and humans. Chitinases in microorganisms allow the digestion of chitin for nutrient acquisition or pathogen defense. Chitinases in plants are part of a defense against fungi by breaking down the fungal cell wall. In humans, chitinases are part of the immune system, and high levels have been linked to diseases such as asthma and allergies. Because of the biological significance of chitin degradation, chitinases are important not only for the natural environment, but also for industrial and medical applications.

Creative Enzymes offers high quality chitinases for research and industrial applications. For example, chitinase from Aspergillus niger (food grade) can be used in the food industry for extraction of chitosan or digestion of seafood shells; native Trichoderma viride chitinase has been used to investigate the differential release of high mannose structural isoforms by fungal and bacterial endo-β-N-acetylglucosaminidase. Learn about chitinases with us and explore our product list!

Overview of Chitinases

Chitinases are glycoside hydrolases (GHs) and are classified into several families based on sequence and structural similarity, the most common being GH18 and GH19. The GH18 family is unusual in having glycoside hydrolases that are both catalytically active chitinases (EC 3.2.1.14) and endo-β-N-acetylglucosaminidases (EC 3.2.1.96), as well as subfamilies of non-hydrolytic proteins that function as carbohydrate-binding modules/"lectins" or as xylanase inhibitors. The GH19 family, on the other hand, consists mainly of catalytically active chitinases (EC 3.2.1.14) and is largely plant-specific. These enzymes have a unique α-helical structural domain and are mainly involved in plant defense against fungal pathogens. In contrast to GH18, GH19 chitinases exhibit a more conserved role and mechanism, functioning primarily as hydrolytic enzymes that degrade chitin. Their action involves hydrolysis maintenance and they are integral to innate immunity in plants.

The catalytic domain of chitinases typically contains a conserved glutamate or aspartate residue that acts as a proton donor during the hydrolysis process. The enzyme binds to the chitin substrate via a carbohydrate binding module (CBM), which increases the efficiency of substrate degradation.

Mechanisms of Chitinase Action

Chitinases catalyze the hydrolysis of chitin by cleaving the β-1,4-glycosidic bonds between N-acetylglucosamine units. The enzymatic activity of chitinases can be divided into two broad categories: endochitinases and exochitinases.

  • Endochitinases break chitin randomly at internal sites, producing shorter chitin fragments such as chitooligosaccharides.

Action mechanism of endochitinase.Fig. 1: Endochitinase breaks down chitin into multimer products.

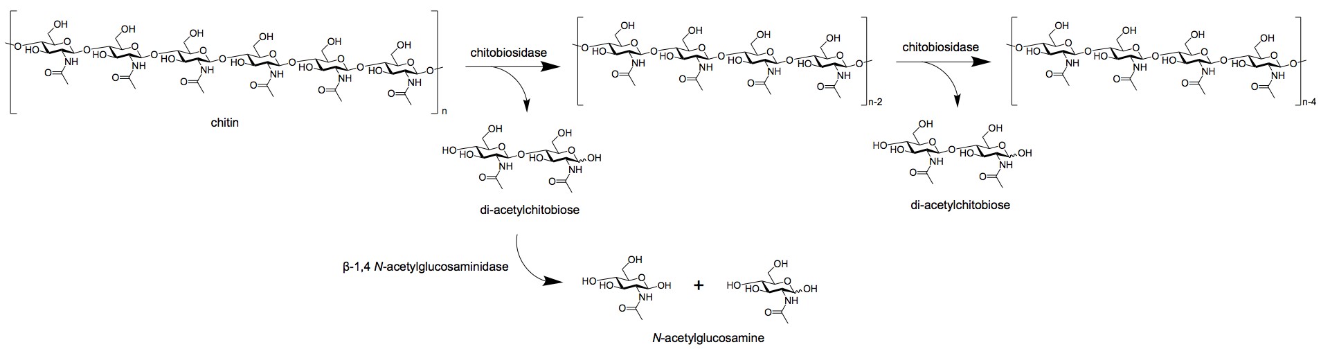
  • Exochitinases, including chitobiosidases and β-N-acetylglucosaminidases, cleave chitin at the non-reducing ends, releasing monomers or dimers of N-acetylglucosamine.

Action mechanism of exochitinase.Fig. 2: Exochitinase, which breaks down chitin into dimers via chitobiosidase and monomers via β-1,4-N-acetylglucosaminidase.

Diversity of Chitinases

Chitinases exhibit a high degree of diversity in terms of their structure, substrate specificity, and function. This diversity is primarily reflected in the distribution of chitinase families across different organisms.

  • Bacterial Chitinases: Bacteria produce a wide variety of chitinases with different substrate specificities and catalytic efficiencies. These enzymes allow bacteria to utilize chitin as a nutrient source. For example, Vibrio species, which are marine bacteria, produce chitinases that allow them to degrade the chitinous exoskeletons of marine organisms.
  • Fungal Chitinases: Fungal chitinases are particularly well-studied, with species such as Trichoderma and Aspergillus producing chitinases to degrade the cell walls of competing fungi (chitinase from Trichoderma harzianum, chitinase from Trichoderma viride, chitinase from Aspergillus niger). These enzymes are also important in the autolysis of fungal cell walls during growth and sporulation.
  • Plant Chitinases: Plant chitinases mainly belong to the GH19 family and are typically involved in pathogen defense. They are induced upon fungal infection and provide a protective mechanism by degrading the fungal cell wall. Some plant chitinases also exhibit antifungal activity, which contributes to their role in protecting the plant from pathogens.
  • Animal Chitinases: In animals, chitinases are found in species that consume a chitin-rich diet, such as insects and crustaceans. In humans, two major chitinases are of interest: chitotriosidase and acid mammalian chitinase. These enzymes are expressed in response to fungal infection and inflammation, suggesting an evolutionary role in immune defense.

Applications of Chitinases

Chitinases have a wide range of applications, from agriculture and biotechnology to environmental management:

Agriculture

Chitinases play an important role in biocontrol strategies against fungal pathogens. Microbial chitinases can be used to treat and protect crops from fungal infections by degrading fungal cell walls. In addition, transgenic plants expressing chitinases have been developed to increase resistance to fungal diseases, providing a sustainable alternative to chemical pesticides.

Biotechnology

In the biotechnology industry, chitinases are used to produce chitooligosaccharides (COS) for applications in the pharmaceutical, food and cosmetic industries. COS are bioactive compounds with antioxidant, antimicrobial and anti-inflammatory properties, making them valuable in the development of health-promoting products.

Waste Management

Chitinases are used to bio convert chitin-containing waste materials, such as shrimp shells, into valuable products. This enzymatic process reduces environmental waste while producing useful by-products such as COS and N-acetylglucosamine, which can be further utilized in various industries.

Environmental Applications

Chitinases are used in the management of environmental pests and fungi. Microbial chitinases can be used in integrated pest management programs to control insect populations, as these enzymes degrade the chitin exoskeletons of insects. Similarly, chitinase-producing microorganisms are used to treat fungal infestations in natural and agricultural ecosystems.

An overview of sources and application of chitinase enzyme.Fig. 3: Sources and application of chitinase (Srivastava A and Srivastava S, 2024).

Chitinase Selection Guide

Cat. No Product Name
DIS-1010 Chitinase from Aspergillus niger
A food-grade product
Get a quote
NATE-0123 Native Streptomyces griseus Chitinase
For studying the effect of the allosamidin on the regulatory system.
Get a quote
NATE-0124 Native Trichoderma viride Chitinase
For studing a hevein-like protein and a class I chitinase with antifungal activity from leaves of the paper mulberry.
Get a quote
NATE-1201 Chitinase from Clostridium thermocellum, Recombinant Get a quote
NATE-1377 Chitinase 18A from Bacillus cereus, Recombinant Get a quote
NATE-1378 Chitinase 18A from Bacillus licheniformis, Recombinant Get a quote
NATE-1379 Chitinase 18A from Clostridium thermocellum, Recombinant Get a quote
CSUB-0159 4-Nitrophenyl N,N'-diacetyl-β-D-chitobioside
A reagent for biochemical assays of chitinases
Get a quote
CSUB-0160 Chitin azure
A substrate for photospectrometric assays of chitinases
Get a quote

In summary, chitinases are important enzymes that play versatile roles in a wide range of organisms, from microbial digestion of chitin to plant defense mechanisms and human immune responses. The diversity of chitinases in terms of their sources and functions allows their application in various fields, including agriculture, and environmental management. Their ability to degrade chitin into useful bioactive compounds has made them valuable tools in biotechnology and waste management.

Supported by an exceptional research team, Creative Enzymes offers a range of chitinases for various applications. For detailed information on these products, please contact us!

Reference:

  1. Srivastava A, Srivastava S. Chitinase enzyme: sources and application. Chapter 7 of the textbook: Bioactive Microbial Metabolites. Elsevier; 2024:151-164.
Products
Online Inquiry

For research and industrial use only. Not intended for personal medicinal use. Certain food-grade products are suitable for formulation development in food and related applications.