Products

Enzymes for Research, Diagnostic and Industrial Use

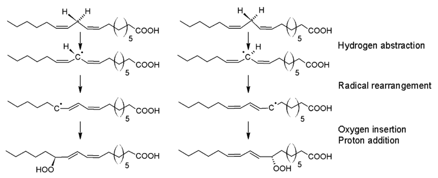
Lipoxygenase

Official Full Name
Lipoxygenase
Background
Catalyzes the hydroperoxidation of lipids containing a cis,cis-1,4-pentadiene structure.
Synonyms
Lipoxygenases; EC 1.13.11.12; 9029-60-1; 13-lipoxidase; carotene oxidase; 13-lipoperoxidase; fat oxidase; 13-lipoxydase; lionoleate:O2 13-oxidoreductase; linoleate 13S-lipoxygenase
Catalog Product Name EC No. CAS No. Source Price
EXWM-0553 arachidonate 5-lipoxygenase EC 1.13.11.34 80619-02-9 Inquiry
EXWM-0552 arachidonate 15-lipoxygenase EC 1.13.11.33 82249-77-2 Inquiry
EXWM-0532 linoleate 13S-lipoxygenase EC 1.13.11.12 9029-60-1 Inquiry
NATE-1249 5-Lipoxygenase from human, Recombinant EC 1.13.11.34 80619-02-9 S9 insect cells Inquiry
NATE-1248 15-Lipoxygenase-2 from human, Recombinant EC 1.13.11.33 E. coli Inquiry
NATE-0407 Native Glycine max (soybean) Lipoxidase EC 1.13.11.12 9029-60-1 Glycine max (so... Inquiry
Products
Online Inquiry

For research and industrial use only. Not intended for personal medicinal use. Certain food-grade products are suitable for formulation development in food and related applications.