Services

Professional and Cost-Saving Solutions

Activity and Binding Assays for Natural Enzyme Substrates

Accurate identification of an enzyme's natural substrate requires more than preliminary screening. To validate substrate candidates, rigorous activity and binding assays are essential. At Creative Enzymes, we offer comprehensive assay services designed to measure catalytic performance and binding affinity, providing definitive evidence of enzyme–substrate compatibility. By employing advanced methodologies and sensitive detection platforms, we deliver reliable kinetic and mechanistic data that form the cornerstone of substrate validation and functional enzyme studies.

How Activity and Binding Assays Support Natural Enzyme Substrate Identification

While initial screening may generate a pool of potential natural substrates, only detailed activity and binding assays can confirm true physiological partners. These assays reveal not only whether a substrate is compatible but also how efficiently it is processed and how tightly it interacts with the enzyme. Such insights are critical in elucidating the enzyme's role in metabolic pathways, designing inhibitors, or optimizing enzyme performance for industrial applications. However, challenges such as substrate interference, assay sensitivity, and reproducibility often complicate these studies. Creative Enzymes addresses these challenges with robust, well-validated assay systems tailored to each enzyme's unique properties.

Enzyme activity toward natural substrates as a function of substrate concentrationFigure 1. Enzyme activity vs. substrate concentration.

Our Service Offerings

Creative Enzymes provides specialized services in activity and binding assays for natural enzyme substrates. Our enzymologists integrate biochemical expertise with state-of-the-art instrumentation to deliver accurate kinetic data, binding profiles, and mechanistic insights. We offer multiple assay formats, including spectrophotometric, fluorescence-based, and LC-MS/MS approaches, ensuring compatibility with diverse enzyme classes and substrate types. Each project is tailored to the client's research objectives, whether the goal is metabolic pathway elucidation, therapeutic target validation, or industrial process development.

Service Workflow

Workflow of activity and binding assays for natural enzyme substrates

Contact Our Team

A Complete Process for Natural Substrate Identification

Our "Natural Substrates of an Enzyme" service offers an end-to-end solution, guiding clients from project planning through to structural validation. Each step is carefully designed to ensure accuracy, efficiency, and actionable insights for enzyme characterization and discovery. Explore our specialized modules to see how we transform substrate identification into a streamlined and reliable process:

Full workflow diagram for natural substrate identification in enzymatic studies

Inquiry

Why Choose Creative Enzymes

Comprehensive Assay Portfolio

Multiple formats and technologies ensure flexibility across diverse enzyme classes and substrate chemistries.

High Sensitivity and Accuracy

Advanced detection systems minimize interference and deliver precise measurements, even with complex biological samples.

Expert Data Interpretation

Our enzymologists provide detailed analysis, translating raw data into meaningful biochemical insights.

Customization for Client Needs

Assay conditions and methods are tailored to align with project-specific goals, from academic research to pharmaceutical development.

Integration with Broader Services

Seamless transition from screening to activity validation to complex analysis ensures efficiency across the discovery pipeline.

Reliable and Reproducible Results

Rigorous quality control guarantees consistency and reproducibility, providing clients with confidence in the findings.

Case Studies and Real-World Applications

Case 1: Advancing Plant Metabolomics with CSPP-Based Annotation

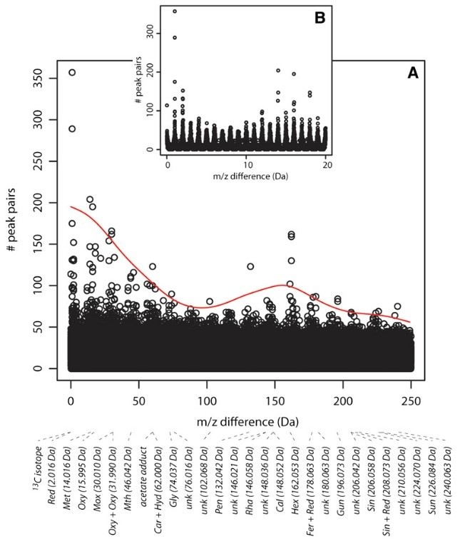
Plant metabolomics is a powerful tool for pathway discovery, yet compound identification remains a major challenge, especially for secondary metabolites. A novel algorithm addresses this bottleneck by analyzing liquid chromatography–mass spectrometry (LC-MS) profiles to detect candidate substrate–product pairs (CSPPs) that reflect known enzymatic reactions. By concatenating CSPPs into networks, the method predicts biosynthetic routes and enables structure annotation, even for low-abundance compounds. Applied to Arabidopsis thaliana, this approach successfully characterized 60% of profiled metabolites, including 61 previously unreported plant compounds. Confirmed by MSn data, this high-throughput strategy significantly enhances metabolomics applications in systems biology.

Structural characterization of Arabidopsis metabolites using substrate–product pair networksFigure 2. The number of chromatogram peak pairs for a particular mass difference, up to precisely three decimals, was computed. The mass differences varied between 0.001 and 250.000 D; thus, 250,000 mass differences were considered. (A) Manhattan plot showing the number of peak pairs (y axis) versus the mass difference (x axis). (B) Manhattan plot with mass differences ranging from 0 to 20 D. (Morreel et al., 2014)

Case 2: Developing Robust Enzymatic Assays for Inhibitor Discovery

The discovery of small-molecule inhibitors requires reliable and cost-effective in vitro assays to support extended screening and optimization. This study presents the development and validation of an enzymatic assay using alkaline phosphatase from bovine intestine as a model target. The workflow covers optimization of reagents, buffers, and conditions; miniaturization and automation for high-throughput use; and validation through performance metrics and signal variability. The assay was further applied in dose–response and mechanism-of-action studies essential for structure–activity-relationship analysis. Key challenges during development are highlighted, along with strategies to overcome them, offering a comprehensive framework for robust assay design.

Development and validation of enzymatic assay for small molecule screening and profilingFigure 3. Effect of protein binding capacity of assay plate on AP stability. Reaction progress curves of the AP colorimetric assay at the indicated concentrations of enzyme (DEA μU/μL) in non-treated (A and C) and non-binding surface (B and D) plates. Reactions were initiated by addition of substrate before (A and B) or after (C and D) pre-incubation of the enzyme in the assay plate. Initial reaction velocities as a function of pre-incubation time in non-treated (E) and non-binding surface (F) plates estimated from panels C and D. (Sancenon et al., 2015)

FAQs About Our Activity and Binding Assays Services

  • Q: Why are activity and binding assays necessary after initial screening?

    A: Screening identifies potential substrates, but activity and binding assays provide the quantitative evidence needed to confirm compatibility, catalytic efficiency, and physiological relevance.
  • Q: Which assay formats are available?

    A: We offer a broad range, including spectrophotometric, fluorescence-based, calorimetric, ITC, SPR, and LC-MS/MS, allowing precise selection based on enzyme and substrate properties.
  • Q: Can you work with poorly characterized enzymes?

    A: Yes. Our flexible assay platforms and expert enzymologists can adapt to novel enzymes with limited prior data, ensuring reliable results.
  • Q: How reproducible are the results?

    A: We adhere to strict quality controls and repeat key measurements to ensure reproducibility across different conditions and sample types.
  • Q: Do you provide kinetic parameters as part of the service?

    A: Yes. Parameters such as KM, Vmax, kcat, and binding affinities are calculated and delivered in a comprehensive report with expert interpretation.
  • Q: How does this service integrate with the rest of the substrate identification process?

    A: Our activity and binding assays serve as a bridge between initial screening and structural complex analysis, ensuring a seamless progression toward complete substrate validation.

References:

  1. Morreel K, Saeys Y, Dima O, et al. Systematic structural characterization of metabolites in Arabidopsis via candidate substrate-product pair networks. The Plant Cell. 2014;26(3):929-945. doi:10.1105/tpc.113.122242
  2. Sancenon V, Goh WH, Sundaram A, et al. Development, validation and quantitative assessment of an enzymatic assay suitable for small molecule screening and profiling: A case-study. Biomolecular Detection and Quantification. 2015;4:1-9. doi:10.1016/j.bdq.2015.03.001

For research and industrial use only. Not intended for personal medicinal use. Certain food-grade products are suitable for formulation development in food and related applications.

Services
Online Inquiry

For research and industrial use only. Not intended for personal medicinal use. Certain food-grade products are suitable for formulation development in food and related applications.